Janic Bucheli, Mélissa Uldry, Robert Finger*
Hitzestress kann die Milchproduktion auf verschiedenen Ebenen beeinflussen und das landwirtschaftliche Einkommen reduzieren. Wir analysieren hier den Effekt von Hitzestress auf effektive jährliche Milchumsätze, Veterinärkosten und Futtermittelzukäufe von 1’314 Schweizer Milchviehbetrieben für die Periode 2003-2015. Unsere Resultate zeigen, dass obschon die Schweizerische Milchproduktion regelmässig potentiell schädlichen Hitzeperioden ausgesetzt ist, diese im Durchschnitt über alle Betriebe nicht zu reduzierten Milchumsätzen oder erhöhten Veterinärkosten und Futtermittelzukäufen führen.

Extreme Wetterereignisse und der fortschreitende Klimawandel stellen die Milchproduktion in vielen Teilen der Welt vor grosse Herausforderungen1. Insbesondere Hitzestress kann die Milchproduktion auf verschiedenen Ebenen beeinflussen und das landwirtschaftliche Einkommen reduzieren. So produzieren hitzegestresste Milchkühe weniger Milch, die Milchqualität nimmt ab und die Tiere können vermehrt an Krankheiten leiden2,3. Gleichzeitig kann Hitze zu Ertragsverlusten in der Futtermittelproduktion führen4, sodass ein Zukauf von Futter notwendig werden kann. Obschon in Experimenten klar dokumentiert ist, was die Auswirkungen von Hitzestress bedeuten können, sind die effektiven Implikationen auf Ebene des Betriebes nicht zwingend identisch. So hängen die Effekte von Hitzestress auf Milchkühe und die Futtermittelproduktion von zahlreichen Faktoren wie der Rasse, Art der Futtermittelproduktion, dem Produktionssystem (z.B. gut durchlüftete Ställe) und dem betrieblichen Management (z.B. Weidegang nur in der Nacht, ad libitum Wasserverfügbarkeit) ab.
In einem kürzlich veröffentlichten Artikel5 in der Fachzeitschrift Journal of the Agricultural and Applied Economics Association untersuchen wir den Effekt von Hitzestress auf milchproduzierende Betriebe in der Schweiz. Wir analysieren dabei auf einzelbetrieblicher Ebene die Effekte von Hitzestress auf effektive jährliche Milchumsätze, Veterinärkosten und Futtermittelzukäufe. Hierzu verwendeten wir repräsentative Buchhaltungsdaten aus der Zentralen Auswertung, welche durch Agroscope zur Verfügung gestellt wurden. Insgesamt nutzten wir 9’894 jährliche Buchhaltungsdaten von 1’314 Milchbetrieben, welche von 2003 bis 2015 aufgezeichnet wurden. Einzelbetriebliche Beobachtungen werden mit detaillierten Beobachtungen zum Wetter (insb. Temperatur, relative Luftfeuchtigkeit) zusammengeführt. Hitze wird dabei wie folgt definiert: Wir nutzen einen stündlichen Temperatur-Feuchtigkeits-Index (Temperature-Humidity-Index, THI), um den gemeinsamen Effekt von Hitze und relativer Luftfeuchtigkeit auf Milchumsätze und Veterinärkosten zu schätzen. Für die Ermittlung von Hitzeeffekten auf Futtermittelzukäufe nutzen wir stündliche Temperaturbeobachtungen.
Wir verwenden ein ökonometrisches Verfahren, um den Effekt von Hitze zu identifizieren, isolieren und quantifizieren. Das verwendete Verfahren ermöglicht dabei die Schätzung von nicht-linearen Hitzeeffekten, d.h. dass unterschiedliche Hitzelevels unterschiedliche marginale Effekte haben können. Das Verfahren berücksichtigt zudem implizit die Anpassungen des Managements während Hitzeperioden und kontrolliert für eine Vielzahl möglicher Störfaktoren wie das Auftreten von Dürren, jährlichen Preisanpassungen und zeitunabhängiger, betriebs-spezifischer Faktoren wie dem Standort oder Produktionssystem.
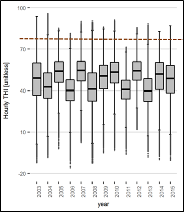
Abbildung 1 zeigt, dass die Schweizerische Milchproduktion regelmässig potentiell schädlichen Hitzeperioden ausgesetzt ist. Jedoch führen diese Hitzeperioden im Durchschnitt nicht zu reduzierten Milchumsätzen oder erhöhten Veterinärkosten und Futtermittelzukäufen (Abbildung 2). Obschon also einzelne Betriebe Schäden durch Hitze erleiden können, ist der Effekt im Durchschnitt über alle Betriebe nicht statistische signifikant. Daraus lässt sich schliessen, dass die Schweizerische Milchproduktion momentan im Mittel robust (im Sinne der hier berücksichtigen Indikatoren) gegenüber der aktuellen Hitzeexposition ist und dass Schweizer Milchproduzentinnen und Milchproduzenten Wege gefunden haben, um mit der aktuellen Hitzeexposition umzugehen. Dies bedeutet jedoch nicht, dass dies immer so bleibt.

Abbildung 1. Verteilung der stündliche Temperature-Humidity-Index (THI) Werte pro Jahr. Frühere Studien zeigen, dass Werte oberhalb der gestrichelten Linie in Rot zu Hitzestress bei Milchkühen führen.

Abbildung 2. Berechnete stündliche Hitzeeffekte auf Milchumsätze (oben), Veterinärkosten (mitte) und Futtermittelzukäufe (unten). 95% Konfidenzintervalle zeigen die statistische Unsicherheit des berechneten stündlichen Hitzeeffektes.
Ein Blick in Milchproduktionssysteme mit höherer Hitzeexposition wie in einigen Teilen Deutschlands6 oder den USA7 zeigt, dass Hitze negative Auswirkungen auf die Milchproduktion haben kann. Folglich wird das Management von Hitzestress wegen der globalen Erwärmung, welche den alpinen Raum überproportional betrifft, höchstwahrscheinlich zu höheren Kosten führen und an Bedeutung gewinnen.
Referenzen
1 OECD & FAO. (2018). OECD-FAO Agricultural Outlook 2018-2027. Chapter 7. Dairy and dairy products. Available at: http://www.agri-outlook.org/commodities/Agricultural-Outlook-2018-Dairy.pdf
2 Key, N., & Sneeringer, S. (2014). Potential effects of climate change on the productivity of US dairies. American Journal of Agricultural Economics, 96(4), 1136-1156. https://doi.org/10.1093/ajae/aau002
3 Kadzere, C. T., Murphy, M. R., Silanikove, N., & Maltz E. (2002). Heat stress in lactating dairy cows: a review. Livestock Production Science, 77(1), 59-91. https://doi.org/10.1016/S0301-6226(01)00330-X
4 Ortiz-Bobea, A., Knippenberg, E., & Chambers R. G. (2018). Growing climatic sensitivity of US agriculture linked to technological change and regional specialization. Science Advances, 4(12), eaat4343. https://doi.org/10.1126/sciadv.aat4343
5 Bucheli, J., Uldry, M., & Finger, R. (2022). Heat Risks in Swiss Milk Production. Journal of the Agricultural and Applied Economics Association. https://doi.org/10.1002/jaa2.24 (open access)
6 Finger, R., Dalhaus, T., Allendorf, J., & Hirsch S. (2018). Determinants of downside risk exposure of dairy farms. European Review of Agricultural Economics, 45(4), 641-674. https://doi.org/10.1093/erae/jby012
7 Gisbert-Queral, M., Henningsen, A., Markussen, B., Niles, M. T., Kebreab, E., Rigden, A. J., & Mueller, N. D. (2021). Climate impacts and adaptation in US dairy systems 1981–2018. Nature Food, 1-8. https://doi.org/10.1038/s43016-021-00372-z
*Janic Bucheli und Robert Finger sind an der ETH Zürich (CH). Mélissa Uldry ist ehemalige Masterstudentin der ETH Zürich.