Eileen Ziehmann, Robert Huber, Robert Finger*
Pflanzenschutz ist unerlässlich, um Ernteausfälle zu minimieren und die Ernährungssicherheit zu gewährleisten. Der weit verbreitete Einsatz von Pflanzenschutzmitteln ist jedoch mit negativen Auswirkungen auf die Umwelt, Nicht-Zielorganismen und die menschliche Gesundheit verbunden (Wan et al., 2025). Um die in Europa und in der Schweiz festgelegten Ziele zur Reduktion des Pflanzenschutzmittelrisikos zu erreichen (vgl. Schneider et al., 2023), muss auch die Nutzung von Herbiziden reduziert werden. Herbizide werden dabei oft durch mechanische Unkrautkontrolle ersetzt. Diese kann zwar Unkräuter wirksam bekämpfen, ist jedoch mit Zielkonflikten verbunden. Zum Beispiel ist mechanische Unkrautkontrolle oft teuer und führt zu zusätzlichen Arbeits- und Maschinenkosten. Sie kann auch negative Umweltauswirkungen haben, wie z.B. ein erhöhtes Risiko für Bodenverdichtung und Erosion oder höhere Treibhausgasemissionen (Ziehmann et al., 2024; Tran et al., 2023).
Angesichts der möglichen negativen Externalitäten mechanischer Unkrautbekämpfungsmethoden (d.h. erhöhte Kosten, negative Auswirkungen auf die Bodengesundheit, Emissionen), wäre eine Reduktion der Intensität mechanischer Unkrautkontrolle, d.h. eine Reduktion der Anzahl Überfahrten ohne Ertragseinbussen für Landwirt:innen und die Umwelt gleichermassen vorteilhaft. Die Präzisionslandwirtschaft könnte neue Perspektiven bieten, um solche Synergien zu nutzen (vgl. Anderegg et al., 2023). Insbesondere Fernerkundungstechnologien wie Satelliten- und Drohnenbilder ermöglichen immer mehr eine präzisere Unkrautüberwachung und somit auch gezieltere Massnahmen der mechanischen Unkrautkontrolle. Solche Technologien werden beispielsweise bereits für die effizientere Ausbringung von Herbiziden oder Düngemitteln verwendet. Meist zielen sie jedoch auf eine Optimierung der Dosierung dieser Inputs während der Ausbringung ab (Alam et al., 2020; Späti et al., 2021). Um einen Vorteil im Kontext der mechanischen Unkrautbekämpfung zu erzielen, ist allerdings keine optimierte Dosierung erforderlich, sondern ein Verzicht auf die gesamte Intervention. Zum Potenzial von Fernerkundungstechnologien im Kontext herbizidfreier Produktionssysteme – also zur Möglichkeit des Verzichts auf nicht zwingend nötige mechanische Interventionen ohne daraus resultierende Ertragseinbussen – gibt es allerdings bisher nur wenig Forschung (vgl. Reuter et al., 2025). Auch mögliche Implikationen für die Politik wurden bisher nicht evaluiert.
In einem in der Fachzeitschrift Journal of Agricultural Economics erschienenen Artikel (Ziehmann et al. 2025) entwickeln wir einen dynamischen, bioökonomischen Modellierungsansatz zur Analyse des wirtschaftlichen Potenzials von Fernerkundungstechnologien für die Steuerung mechanischer Unkrautbekämpfungsmassnahmen. Dazu verwenden wir die Fallstudie der herbizidfreien Winterweizenproduktion in der Schweiz. Konkret wird im Modell evaluiert, ob Fernerkundungstechnologien wie Satelliten oder Drohnen zur Bestimmung des Unkrautdrucks genutzt werden können, um die Effizienz mechanischer Unkrautbekämpfungsmassnahmen zu erhöhen, und auf nicht zwingend nötige Überfahrten zu verzichten. Ziel des Artikels ist es, die ökonomischen Vorteile dieser Ansätze mittels des Modells zu quantifizieren und den Kosten der Technologien gegenüberzustellen. Dazu simuliert das Modell ein Beispielfeld mit einer Grösse von einem Hektar, das in kleinere Teilflächen unterteilt wird. In jeder Teilfläche wird dann ein spezifischer Unkrautdruck simuliert. Diese Annahme basiert darauf, dass Unkrautwachstum meist nicht uniform, sondern über Raum und Zeit variabel ist (vgl. Gerhards et al., 2022). Solche teilflächenspezifischen Unterschiede im Unkrautwachstum sind jedoch meist nicht mit dem blossen Auge sichtbar. Informationen zu Unkrautdruck, Ertragspotentialen, Kosten und Nutzen widerspiegeln die Schweizer Weizenproduktion (siehe Details im wissenschaftlichen Artikel).
Im Modell werden Fernerkundungstechnologien genutzt, um das Unkrautwachstum in den Teilflächen zu bestimmen und daraufhin die Notwendigkeit einer mechanischen Unkrautbekämpfung zu evaluieren *Abbildung 1). Dazu wird ein Schwellenwertprinzip genutzt (siehe Thornton et al., 1990): Wird in der Mehrheit der Teilflächen der Schwellenwert überschritten, d.h. der Unkrautdruck ist so hoch, dass wirtschaftliche Folgen von Ertragseinbussen im Falle einer fehlenden Unkrautbekämpfung die Kosten der Unkrautbekämpfung selbst überschreiten, wird eine mechanische Intervention im ganzen Feld durchgeführt. Umgekehrt wird auf eine Intervention verzichtet, wenn der Schwellenwert in der Mehrheit der Fälle nicht überschritten wird, d.h. die wirtschaftlichen Folgen einer fehlenden Unkrautbekämpfung sind geringer als die Kosten der Unkrautbekämpfung selbst). Diese Analyse führt das Modell an drei Zeitpunkten durch, die mit den typischen Zeitpunkten für eine mechanische Unkrautbekämpfung in Winterweizen übereinstimmen. Zwischen diesen Zeitpunkten wird das Unkrautwachstum dynamisch simuliert (Cousens, 1985; Zanin et al., 1993), sodass auch die Folgen einer nicht durchgeführten Intervention zu einem späteren Zeitpunkt in der Wachstumssaison sichtbar werden.
Für eine umfassende Bewertung des Potenzials von Fernerkundungstechnologien im Kontext herbizidfreier Produktionssysteme beinhaltet das Modell zwei Arten von Technologien: kostengünstig verfügbare Satellitenbilder mit geringer Auflösung (das heisst Erkennung einer geringeren Anzahl Teilflächen und dadurch Verfügbarkeit von weniger genauen Informationen bezüglich des teilflächenspezifischen Unkrautwachstums), oder hochauflösende Drohnenbilder, die jedoch mit deutlich höheren Kosten verbunden sind (siehe López-Granados, 2011 zur Übersicht.
Abbildung 1: Übersicht über Modellierungsschritte im Simulationsmodell

Zusätzlich werden die Implikationen beider Technologiearten in einer Reihe verschiedener Produktionssysteme evaluiert: 1) konventionelle, jedoch herbizidfreie Produktionssysteme, 2) vollständig pflanzenschutzmittelfreie Systeme, sowie 3) biologische Produktionssysteme. Diese Produktionssyteme unterscheiden sich jeweils hinsichtlich Ertragspotentialen und Produzentenpreisen. Um mögliche Unterschiede in Maschinenausstattung und -alter zu simulieren, analysiert das Modell ebenfalls diverse Kostenstrukturen für mechanische Unkrautbekämpfungsmassnahmen (d.h. geringe, moderate, sowie hohe Kosten pro Intervention pro Hektar). Schliesslich wird das Modell auch für eine ex-ante-Politikanalyse eingesetzt, um die Auswirkungen einer möglichen Kraftstoffbesteuerung auf die Anzahl der durchgeführten Bekämpfungsmassnahmen zu evaluieren.
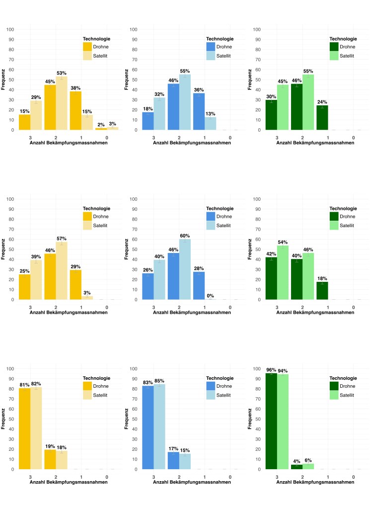
Unsere Ergebnisse zeigen, dass die Nutzung von Fernerkundungstechnologien einen Verzicht mechanischer Interventionen – und somit deren erhöhte Effizienz – ermöglichen kann (*Abbildung 2). Eine Reduktion der nötigen Interventionen wird dabei bereits durch geringauflösende Satellitenbilder ermöglicht, welche durch ihre niedrigen Kosten auch keine negativen Auswirkungen auf realisierte Deckungsbeiträge haben. Drohnen stellen durch ihre hohe Auflösung ein grösseres Reduktionspotenzial mechanischer Interventionen dar, führen allerdings aufgrund ihrer hohen Kosten zu erheblichen Reduktionen der Deckungsbeiträge (durchschnittlich 450 CHF/ha). Die Reduktion der durchgeführten
Abbildung 2: Anzahl Bekämpfungsmassnahmen unter Nutzung von Fernerkundungstechnologien

Interventionen (im Vergleich zu drei Standard-Interventionen) hängt vom Produktionssystem sowie der Kostenstruktur für mechanische Unkrautbekämpfungsmassnahmen ab. Sind die Kosten für eine Intervention beispielsweise niedrig (d.h. ca. 30 CHF/ha) und die Preise für Winterweizen hoch, bleibt die Anzahl Interventionen nahezu unverändert. In einem solchen Kontext ist das Potenzial von Fernerkundungstechnologien zur Effizienzsteigerung mechanischer Methoden daher begrenzt. Bei moderaten (ca. 87 CHF/ha) sowie hohen Kosten (ca. 110 CHF/ha) pro mechanische Intervention wiederum ermöglichen Fernerkundungstechnologien wiederum in mehr als drei Viertel der Fälle eine Reduktion der durchgeführten Interventionen. Das genaue Ausmass dieser Reduktion wird dabei von Faktoren bezüglich des Produktionssystems (d.h., Weizenpreis, Ertragspotenzial) sowie der Intervention selbst (Kosten, Kontrolleffizienz) bestimmt. Unser Modell zeigt spezifisch, dass ein Anstieg des Weizenpreises um 1 CHF und des unkrautfreien Ertragspotenzials um 1 dt/ha die Anzahl mechanischer Interventionen um 5,7 % bzw. 5,3 % erhöhen würde. Im Umkehrschluss würden eine höhere Wirksamkeit der Unkrautbekämpfung (+1 %) oder höhere Kosten pro mechanischer Intervention (+1 CHF) die durchschnittliche Anzahl der Interventionen um 5,0 % bzw. 11,0 % senken.
Unsere Politikanalyse zeigt, dass die Kraftstoffbesteuerung die Anzahl der mechanischen Eingriffe zusätzlich reduzieren könnte, jedoch nicht in erheblichem Masse. Es ist daher unwahrscheinlich, dass sie ein wirksames politisches Instrument für eine zusätzliche Reduktion der Intensität mechanischer Unkrautkontrolle darstellt.
Zusammenfassend zeigt sich ein erhebliches Potenzial von Fernerkundungstechnologien, um die mechanische Unkrautkontrolle in herbizidfreien Produktionssystemen zu reduzieren, ohne dass es zu grossen Ertragseinbussen kommt. Dies bietet sowohl für Landwirt:innen (eingesparte Kosten), als auch die Umwelt (weniger Bodenverdichtung, weniger Treibhausgasemissionen) Vorteile. Insbesondere kostengünstig verfügbare Satellitenbilder sind hier vielversprechend, da sie trotz ihrer geringen Auflösung einen Verzicht auf nicht zwingend nötige Interventionen ermöglichen, ohne dabei negative Auswirkungen auf die erzielten Deckungsbeiträge zu haben. Hochauflösende Drohnenbilder führen zwar zu einer Reduktion der Deckungsbeiträge, könnten aber dennoch ein erhebliches Potenzial für mechanische Bekämpfungsmassnahmen darstellen, zum Beispiel durch eine genauere Erkennung von Teilflächen mit sehr hohem oder tiefem Unkrautdruck (und somit einem höheren Effizienzgewinn), oder zur Identifizierung besonders schädlicher Unkrautspezies, deren Vorkommen auch bei sonst tiefem Unkrautdruck eine Intervention nötig machen würde. Da der Umgang mit Drohnen jedoch auch mit Herausforderungen (z.B. Handhabung, Arbeitszeitbedarf, gesetzliche Einschränkungen) verbunden sein kann, ist deren Einsatz weiter limitiert. Wir erwarten, dass in Zukunft die Effektivität der Fernerkundungstechnologien im Kontext der Bestimmung des Unkrautdrucks weiter zunimmt und die Kosten weiter sinken, was diese Anwendung zunehmend attraktiver machen wird.
Aufgrund unserer Ergebnisse empfehlen wir, die möglichen Vorteile von Fernerkundungstechnologien – insbesondere erschwinglicher Technologien, wie Satellitenbilder und deren Handhabung in der Praxis- noch stärker in die Aus- und Weiterbildung und Beratung aufzunehmen. Dabei ist zudem eine ausreichende und benutzerfreundliche digitale Infrastruktur von enormer Bedeutung (siehe Finger, 2023), deren Bereitstellung für eine rasche Nutzung des Potenzials von Fernerkundungstechnologien sowie Präzisionslandwirtschaft allgemein essenziell ist.
Studie: Ziehmann, E., Huber, R., & Finger, R. (2025). Remote‐Sensing for Herbicide‐Free Agriculture: A Bio‐Economic and Policy Appraisal. Journal of Agricultural Economics. Open Access: https://doi.org/10.1111/1477-9552.70000
*AutorInnen: Eileen Ziehmann, Robert Huber, Robert Finger (alle ETH Zürich). Kontakt: aziehmann@ethz.ch
Referenzen
Alam, M., M. S. Alam, M. Roman, M. Tufail, M. U. Khan, and M. T. Khan. 2020. “ Real-Time Machine-Learning Based Crop/Weed Detection and Classification for Variable-Rate Spraying in Precision Agriculture.” In 2020 7th International Conference on Electrical and Electronics Engineering (ICEEE), 273–280. IEEE.
Anderegg, J., F. Tschurr, N. Kirchgessner, et al. 2023. “On-Farm Evaluation of UAV-Based Aerial Imagery for Season-Long Weed Monitoring Under Contrasting Management and Pedoclimatic Conditions in Wheat.” Computers and Electronics in Agriculture 204: 107558.
Cousens, R.. 1985. “An Empirical Model Relating Crop Yield to Weed and Crop Density and a Statistical Comparison With Other Models.” Journal of Agricultural Science 105, no. 3: 513–521.
Finger, R. 2023. “Digital Innovations for Sustainable and Resilient Agricultural Systems.” European Review of Agricultural Economics 50, no. 4: 1277–1309.
Gerhards, R., D. Andujar Sanchez, P. Hamouz, G. G. Peteinatos, S. Christensen, and C. Fernandez-Quintanilla. 2022. “Advances in Site-Specific Weed Management in Agriculture—A Review.” Weed Research 62, no. 2: 123–133.
López-Granados, F. 2011. “Weed Detection for Site-Specific Weed Management: Mapping and Real-Time Approaches.” Weed Research 51, no. 1: 1–11.
Schneider, K., J. Barreiro-Hurle, and E. Rodriguez-Cerezo. 2023. “Pesticide Reduction Amidst Food and Feed Security Concerns in Europe.” Nature Food 4, no. 9: 746–750.
Späti, K., Huber, R., & Finger, R. (2021). Benefits of increasing information accuracy in variable rate technologies. Ecological Economics, 185, 107047.
Reuter, T., K. Nahrstedt, L. Wittstruck, T. Jarmer, G. Broll, and D. Trautz. 2025. “Site-Specific Mechanical Weed Management in Maize (Zea mays) in North-West Germany.” Crop Protection 190: 107123.
Thornton, P. K., R. H. Fawcett, J. B. Dent, and T. J. Perkins. 1990. “Spatial Weed Distribution and Economic Thresholds for Weed Control.” Crop Protection 9, no. 5: 337–342.
Tran, D., J. J. Schouteten, M. Degieter, et al. 2023. “European Stakeholders‘ Perspectives on Implementation Potential of Precision Weed Control: The Case of Autonomous Vehicles With Laser Treatment.” Precision Agriculture 24: 1–23.
Wan, N. F., L. Fu, M. Dainese, et al. 2025. “Pesticides Have Negative Effects on Non-Target Organisms.” Nature Communications 16, no. 1: 1360.
Zanin, G., A. Berti, and L. Toniolo. 1993. “Estimation of Economic Thresholds for Weed Control in Winter Wheat.” Weed Research 33, no. 6: 459–467.
Ziehmann, E., Huber, R., & Finger, R. (2025). Remote‐Sensing for Herbicide‐Free Agriculture: A Bio‐Economic and Policy Appraisal. Journal of Agricultural Economics.
Ziehmann, E., N. Möhring, and R. Finger. 2024. “Economics of Herbicide-Free Crop Production.” Applied Economic Perspectives and Policy 46: 1692–1716.
Link zu anderen Blogposts: